Stability of Linear Time-varying delay Systems via Modified Integral Inequality

Main Article Content

Noppadol Mayomhin
Wanwisa Puangmalai

Abstract

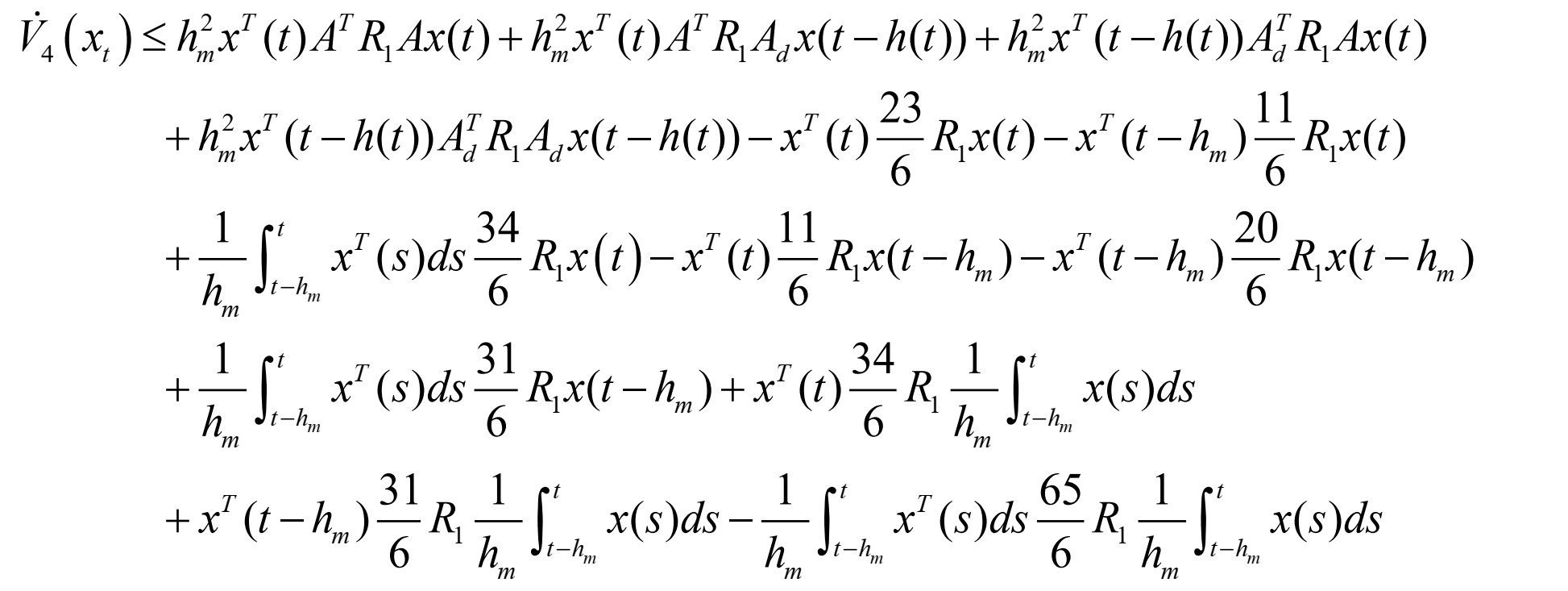
The main objective of this paper is to find some conditions to determine asymptotic stability for linear systems with time varying delay in term of linear matrix inequalities. Base on Lyapunov-Krasovskii functional and a new integral inequality by combining two recent integral inequalities: namely the Wirtinger integral inequality and a new integral inequality proposed in 2020. Finally, show example that correspond to the condition.

Article Details

Section
Research articles

References

กรรณิกา เกียนวัฒนา. (2552). พีชคณิตเชิงเส้น. (พิมพ์ครั้งที่ 16). เชียงใหม่: มหาวิทยาลัยเชียงใหม่.

ชนศักดิ์ บ่ายเที่ยง และศรีบุตร แววเจริญ. (2545). คณิตศาสตร์วิศวกรรมและวิทยาศาสตร์. (พิมพ์ครั้งที่2). กรุงเทพฯ: วงตะวัน.

ดำรง ทิพย์โยธา และเพ็ญพรรณ ยังคง. (2539). พีชคณิตเชิงเส้น. (พิมพ์ครั้งที่2). กรุงเทพฯ: โรงพิมพ์จุฬาลงกรณ์มหาวิทยาลัย.

ลำดวน ยอดยิ่ง. (2546). แคลคูลัส 1-1. (พิมพ์ครั้งที่2). กรุงเทพฯ: The Knowledge Center.

วัลลภ เฉลิมสุวิวัฒนาการ. (2546). ทฤษฎีและตัวอย่างโจทย์แคลคูลัส. กรุงเทพฯ: สำนักพิมพ์ท้อป.

อติชาต เกตตะพันธุ์. (2559). แคลคูลัสขั้นสูง (Advanced Calculus). (พิมพ์ครั้งที่6). เชียงใหม่.มหาวิทยาลัยเชียงใหม่.

Briat, C., and Seuret, A. (2012). Convex dwell-time characterizations for uncertain linear impulsive systems. IEEE Transactions on Automatic Control, 57(12), 3241-3246.

Fridman, E. (2014), Introduction to time-delay systems: analysis and control.

Fridman, E. and Shaked, U. (2002). A descriptor system approach to control of time-delay systems, IEEE Trans. Autom. Control, 47, (2), 253-270.

Lee, S. H., Park, M. J., & Kwon, O. M. (2023). Advanced stability analysis for linear systems with time-varying delays via a generalized integral inequality. Applied Mathematics Letters, 140, 108566.

He, Y., Wang, Xie, L. and Lin, C. (2007). Further improvement of free-weighting matrices technique for systems with time-varying delay, IEEE Trans. Autom. Control, 52, (2), 293-299.

Hien, L.V., An, N.T. and Trinh, H., (2014). New results on state bounding for discrete-time systems with interval time-varying delay and bounded disturbance inputs, IET Control Theory Appl., 8, (14), 1405-1414.

Hien, L.V. and Phat, V.N. (2009). Exponential stability and stabilization of a class of uncertain linear time-delay systems, J. Franklin Inst., 346, (6), 611-625.

Meng, X.Y., Lam, J., Du, B.Z. and Gao, H.J. (2010). A delay-partitioning approach to the stability analysis of discrete-time systems, Automatica, 46, (3), 610-614.

Park, P.G., Ko, J.W. and Jeong, C. (2011). Reciprocally convex approach to stability of systems with time-varying delays, Automatica, 47, (1), 235-238.

Puangmalai, J., Tongkum, J., and Rojsiraphisal, T. (2020). Finite-time stability criteria of linear system with non-differentiable time-varying delay via new integral inequality. Mathematics and Computers in Simulation, 171, 170-186.

Seuret, A. and Gouaisbaut, F. (2013). Wirtinger-based integral inequality: Application to time-delay systems. Automatica, Elsevier, 49(9), 2860-2866.

Sipahi, R., Niculescu, S. I., Abdallah, C.T., Michiels, W., Gu, K. (2011). Stability and stabilization of systems with time delay, IEEE Control Syst., 31, (1), 38-65.

Souza, F.O. and Palhares, R.M. (2014). New delay-interval stability condition, Int. J. Syst. Sci., 45, (3), 300-306.

Sun, J., Liu, G.P., Chen, J. and Rees, D. (2010). Improved delay-range-dependent stability criteria for linear systems with time-varying delays, Automatica, 46, (2), 466-470.

Zhang, X. M. and Han, Q. L. (2014). New stability criterion using a matrix-based quadratic convex approach and some novel integral inequalities, IET Control Theory Appl., 8, (12), 1054-1061.

Zhu, S., Li, Z. and Zhang, C. (2010). Delay decomposition approach to delay-dependent stability for singular time-delay systems, IET Control Theory Appl., 4, (11), 2613-2620.