Journal of Science and Technology Phetchabun Rajabhat University 2025
Volume 5 Issue 1 January-June (2025)  

วารสารวิทยาศาสตร์และเทคโนโลยี มหาวิทยาลัยราชภัฏเพชรบูรณ์ ปี 2568
ปีที่ 5 ฉบับที่ 1 มกราคม-มิถุนายน (2568)

Published: 2025-05-12

Morphological study of oxalate and oxalate content in 10 species vegetables from Chiang Rai Province

Soonthree Kornochalert, Prasert Waiyaka, Banthod Chomsawan, Thitinan Wanno

35-44

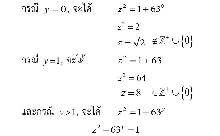
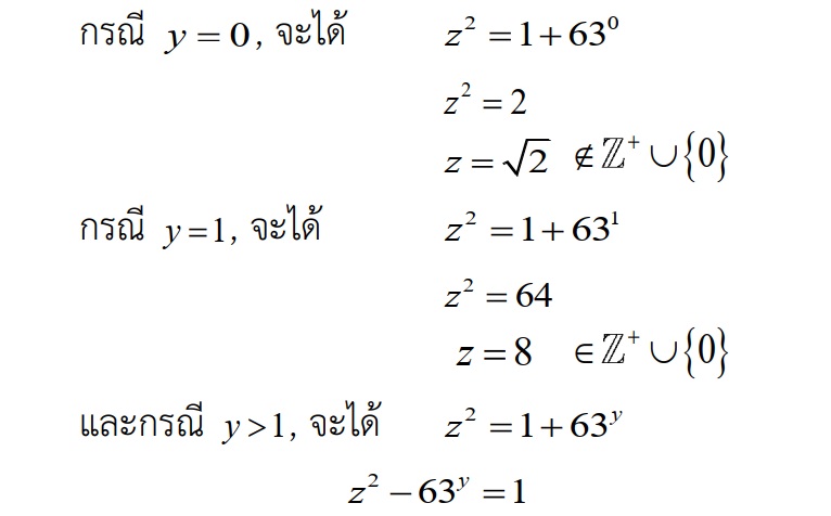
On The Exponential Diophantine Equation (4n-1)^x +63^y =z^2 where (4n-1) is Prime

Napatsakorn Kasiphan, Jirapong Puangmalai, Wanwisa Puangmalai

85-93

Analysis and Improvement of the Hard Disk Drive Quality Inspection Process in the Electronics Industry

Ekkapol Tubpond, Jirasak Songbunkaew, Waraporn Summart, Piyada Phosri, Chamonwut Tamnanchit, Ronnarit Khuengphukhiao

106-117